3.2.1 Costs Incentives

Suppose that the builder's payment is now linked to the realized level of operating costs. Doing so is attractive since these costs also reflect the quality of the infrastructure. Such contract is of the form

Unbundling: First note that such a payment gives a positive incentive to the builder for exerting effort a. The builder's incentive constraint is indeed given by:

Clearly, there always exists a payment that implements the same effort pair under un-bundling than under bundling. If the builder is risk-averse (with supposedly the same degree of risk-aversion as the operator) such payment has also a social cost which is the risk-premium needed to induce the builder's participation. Clearly, this premium increases quickly when the positive externality is small enough, i.e., when the noisy observable does not track so easily the builder's effort.

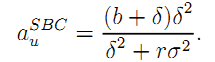
Under unbundling, the optimal quality-enhancing effort is easily obtained as trading off the efficiency gain of more effort against the risk-premium and one finds:

(7)

Note that this effort level is of order δ2 which is rather small for a weak externality. This captures the fact that contracting on cost is of little help if the builder's effort does not significantly affects costs.

Bundling: When bundling is chosen, a single incentive scheme must incentivize both dimensions of effort. The outcome is clearly the same as in Section 3.1. Note however that internalizing the externality across stages yields a first-order magnitude gains to the consortium. We can finally state:

Result 3 Assume that there is a small positive externality. Bundling strictly dominates unbundling in the more general context where complete contracts contingent on operating costs can be signed with both the builder and the operator.

The intuition is straightforward. By bundling tasks in a context where only operating costs can be contracted upon, G can reduce the incentive power of the builder's cost-reimbursement rule, reducing thereby the risk-premium needed to induce his participation.

Bundling makes it more valuable to move towards a fixed-price cost-reimbursement rule increases) and raises both types of efforts a and e if the externality is positive. At the optimum, G optimally trades off incentives with insurance. However, because now part of the incentive to invest in quality-enhancing effort is given through lower operating costs, there is less need to have the consortium bear so much risk.