Public-Private Partnerships

In a typical BTO project, private party (P) gets revenue from the user fee, with the revenue amount depending on the number of users, N, of the facility under a certain user-fee level. Assuming the user fee is fixed at f, then the amount of P's revenue is a linear function of N. We also assume that N is affected by e, P's effort to increase the benefit of the infrastructure, as follows:

Assumption 2

N'(e) > 0, N"(e) < 0.

Assumption 2 implies the concavity of the function N in terms of e. Because P oversees both construction and operation, P chooses a and e considering P's revenue, construction and operating costs, and disutilities from the effort. We can then write P's maximization problem as follows:

(10)

It can, therefore, be assumed that the objective function of equation (10) is concave by Assumptions 1 and 2, so that we can find the optimal effort levels by the first-order conditions:

(11)

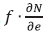
(12)

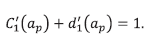
We now compare the conditions with the first best and traditional procurement results. We find that equation (11) is the same as equation (5), which means the level of effort to lower construction costs is the same as the first best level. We can therefore achieve the first best level of a under a PPP contract, while this is overachieved in a traditional procurement. Because the private partner cares about both construction and operating costs, P's operating cost increases by C'1(a) as P decreases the construction cost by one unit under a PPP. The construction company, for its part, does not care about the operating cost increase under a traditional procurement, which is why the optimal effort under a PPP project is less than for a traditional procurement.

Proposition 3: The effort to lower construction costs under a traditional procurement (ap) is the same as the first best level of the effort; that is, ap = a*.

The left side of equation (12) is the same as that of the first best condition in equation (6). Thus, if the right side,, is equal to 1, the first best-effort level can be achieved. If, the optimal effort level, ep,is less than e*, and if , ep is greater than e*. In any case, ep is always positive, which means it is greater than 0, and this is the effort level under a traditional procurement. Therefore, we can say that the quality-enhancing effort under a PPP project is greater than for a traditional procurement.

Proposition 4: The effort to increase infrastructure quality under a PPP (ep) contract is greater than for traditional procurement; that is, ep>etp.

As we observed from the comparison of the theoretical models, PPPs lead to more efficient results than traditional procurements mainly because private partners choose their levels of effort. They consider both construction and operating costs under a PPP contract, while the construction company considers only construction costs, not operating costs. So, in the model, the main source of efficiency comes from the bundling effects of PPP contracts. We now examine PPP projects in the Republic Korea to see whether there are bundling effects that can improve the efficiency of PPP procurement contracts.